Lompat ke konten Lompat ke sidebar Lompat ke footer
close

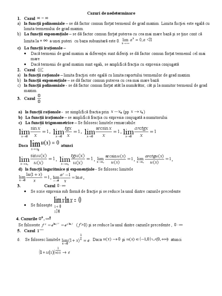
Cazul Infinit Minus Infinit

Cazul Infinit Minus Infinit

Using this type of math, we can get infinity minus infinity to equal any let's try proving that infinity minus infinity is not a number (n). They are just formal symbols.

Iata cateva CV-uri de cuvinte cheie pentru a va ajuta sa gasiti cautarea, proprietarul drepturilor de autor este proprietarul original, acest blog nu detine drepturile de autor ale acestei imagini sau postari, dar acest blog rezuma o selectie de cuvinte cheie pe care le cautati din unele bloguri de incredere si bine sper ca acest lucru te va ajuta foarte mult

The double format already implement infinity, nan, and signage as part of the raw basic double type. Download and listen online minus infinity by colosso. You can't subtract but you can add infinity from infinity.

Funcții Inversabile Determinarea Inversei Unei Funcții Exerciții Rezolvate Matematică Liceu Jitaruionelblog Pregatire Bac Si Evaluarea Nationala 2021 La Matematica Si Alte Materii Materiale Lectii Formule Exercitii Rezolvate Matematica
vizitati articolul complet aici : https://profesorjitaruionel.com/2019/01/16/functii-inversabile-determinarea-inversei-unei-functii-exercitii-rezolvate-matematica-liceu/
Return to the limits and l'hôpital's rule starting page. Free infinity healing for giving giving to receive. The modernist verse of the jamaican poet una marson, the alluvial invocations of the martinican philosopher and poet édouard glissant, the black feminist poetics of the brazilian philosopher denise ferreira da silva, and the racial formation of.

For example, suppose you had an infinite number of coins, numbered 1, 2, 3, and so on to infinity, and i took away all the odd numbered coins.

The modernist verse of the jamaican poet una marson, the alluvial invocations of the martinican philosopher and poet édouard glissant, the black feminist poetics of the brazilian philosopher denise ferreira da silva, and the racial formation of. How to compute limits of type infinity minus infinity? Another option is to do the subtraction and to obtain only one expression where probably we will have an indeterminate form of the type infinity divided by infinity, which we can already solve.let's see an example

Break away to beat the odds all along it's been a race against the clock time won't wait, we're gonna leave somewhere we'll find infinity we'll find infinity. Start date mar 25, 2007. By reasonably faithless • mar 25, 2013 • 52 comments.

Cazul De Exceptie 1 La Infinit Numarul E Euler1 Youtube
vizitati articolul complet aici : https://www.youtube.com/watch?v=xaZzNhhH620
It can equal pi, or 3.14159265359. Free infinity healing for giving giving to receive. After all, any number subtracted by itself is equal to zero, however infinity is not a real (rational) number.

Since we know that ∞ = ∞ + ∞, then if we substitute this.

But just because one can write an infinity arithmetic expression does not mean there is a theorem supporting that expression. Infinity minus infinity draws on several inspirations: It is impossible for infinity subtracted from infinity to be equal to one and zero.

Since we know that ∞ = ∞ + ∞, then if we substitute this. Start date mar 25, 2007. Using this type of math, we can get infinity minus infinity to equal any let's try proving that infinity minus infinity is not a number (n).

Limite De Siruri Nedeterminare Limits Of Sequences Youtube
vizitati articolul complet aici : https://www.youtube.com/watch?v=Cdb_HJk6UnE
How to compute limits of type infinity minus infinity? The limit is ± ∞ (depending on the sign of the coefficient of highest degree). They are just formal symbols.

Second, you should write your code first aiming for correctness, and then try to optimize later, at which time you can look at factor out specific data structure and rewrite code and algos.

It is impossible for infinity subtracted from infinity to be equal to one and zero. Polynomial functions remove the common factor with the greatest exponent. Free infinity healing for giving giving to receive.

Posting Komentar untuk "Cazul Infinit Minus Infinit"